Gummiband
Thema
Ein Gummiband kann eine längere Strecke fliegen, wenn es beim Schuss ungleichmäßig gestreckt wird, wodurch es sich während des Fluges dreht. Wir sollen die Distanz, welche ein Gummiband mit Spin zurücklegen kann, optimieren, sodass die Distanz möglichst groß ist. Unter der Distanz verstehen wir hier die Distanz vom Punkt, wo das Gummiband los geschossen wurde zum Ausgangspunkt, wo das Gummi landet. Wir meinen damit nicht die Flugbahn, da diese zu schwer zu messen wäre. Zudem wird das Gummi immer parallel zum Boden geschossen, da wir uns auf den Spin fokussieren.
Dieser Versuch hat mit Kräften und Luftwiderstand zutun. Daraus schließend ist dieses Projekt Teil des Themenfeldes Mechanik.
Grundlegende Erklärung
Wenn man einem Gummiband Spin gibt (beide Seiten ungleichmäßig streckt), so fängt es an, im Flug zu rotieren. Durch diese Rotation tritt ein Effekt ein, welcher dafür sorgt, dass das Gummi in einer Stabilen Position fliegt, da durch diese Stabilität Störungen das Gummi weniger stark beim Flug beeinflussen.
Diese Position, in die sich das Gummi begibt, minimiert die Angriffsfläche für die Luft beim Flug, wodurch der Luftwiderstand bedeutend reduziert wird.
Parameter
Zunächst einmal fangen wir mit den relevanten Parametern an, die das Phänomen allgemein beeinflussen:
-Die Federfunktion L*n+b des Gummis
-Die Abschusshöhe des Gummis über dem Boden h
Der Winkel φ, in dem das Gummi in die Luft geschossen wird
-Der Radius des Gummis r
-Die Dicke des Gummis rh
-Die Masse des Gummis M
-Die minimale Rotationsgeschwindigkeit für einen Stabilen Flug Vmin
-2-Fache Längendifferenz zwischen den einzelnen Seiten(Spin) U
-Optische Längendifferenz zur Ausgangslage U
-Die Luftwiderstandsbeiwerte Cw2 und Cw3
-Konstanten:
-Luftdichte P
-Erdbeschleunigung g
Theorie
Energiebetrachtung
Um diesen Effekt zu untersuchen, werden wir über eine Energiebetrachtung gehen. Daher müssen wir zunächst einmal die potentielle Energie bestimmen, welche im Gummi vorliegt im gestreckten Zustand.
Hierfür muss erstmal der Zusammenhang zwischen der Längenausdehnung des Gummis und der Kraft, welche auf das Gummi ausgewirkt wird ermittelt werden.
Der Ideale Graph für diesen Zusammenhang ist folgender:
Hier lässt sich schnell erkennen, dass das Hooksche Gesetz hier nichtzutreffend ist, da der Zusammenhang nicht linear ist. Daher wird der Zusammenhang zwischen der Längenausdehnung und der daraus resultierenden Kraft in der Form F=ΔL*m+b dargestellt. Um die Werte von n und k zu bestimmen, werden versuche durchgeführt (Mehr dazu im Versuch-Abschnitt). Dieser Term wird den Linearen Abschnitt annähern.
Ein Gummi ist von den Physikalischen Eigenschaften her sehr Feder-ähnlich.
Die gespeicherte potentielle Energie in einer Feder wird durch den Folgenden Ausdruck beschrieben:
Dieser Ausdruck basiert auf dem Hookschen Gesetz, nach welchem die Kraft F durch eine Längenänderung von K*L verursacht wird. L ist hier die Längenänderung.
Da dieses Gummi aber nicht sehr zutreffend durch das Hooksche Gesetz beschrieben werden kann (siehe oben), muss ein neuer Term für die Energie gefunden werden, welcher auf dem oben definierten Term für den Zusammenhang zwischen der Kraft F und der Längenausdehnung L.
Um dies herauszufinden, können folgende Schritte durchgeführt werden:
Dieser Ausdruck beschreibt die Energie eines gleichförmig gestreckten Gummis. In unserem Projekt, wird das Gummi jedoch ungleichmäßig gestreckt. Daher wird die Energie der Einzelnen Seiten addiert, wobei eine Seite L+U lang ist, die andere Seite L-U. Da wir hier die einzelnen Seiten betrachten, müssen alle Terme jeweils halbiert werden.
Dies ist die potentielle Energie, welche sich im gespannten Gummi befindet. Wird dieses nun losgelassen, wird diese Energie in Kinetische Energie umgewandelt.
Diese Energie verteilt sich auf die Schussenergie Eschuss und die Rotationsenergie Erot. Die Schussenergie ist hierbei also die Energie, welche für das vorwärts-schießen verantwortlich ist und Erot die Energie, welche für die Rotation verantwortlich ist.
Beide Seiten des Gummis haben eine bestimmte Energie menge. Die Schuss-Energie ist hier die Energie, welche beide Seiten gemeinsam haben, d.h. 2 mal die Energie, welche in der kürzeren Seite vorliegt.
Nun fehlt nur noch die Rotationsenergie, welche die Differenz der Gesamtenergie und der Schussenergie ist (Energieerhaltung):
Aus diesen Energien können nun die Geschwindigkeiten berechnet werden. Für die Rotationsgeschwindigkeit gilt:
\begin{equation}
\sqrt{\frac{2 \cdot (b \cdot U + L \cdot m \cdot U)}{M}} = V_{rot}
\end{equation}
Auch die Anfangsgeschwindigkeit des Gummis beim Flug kann durch die beteiligte Energie berechnet werden:
Flug kein Luftwiderstand
Links befindet sich eine Grobe Skizze der Flugbahn des Gummis.
Zunächst einmal muss die Fallzeit bestimmt werden, nach welcher das Gummi auf den Boden auftrifft.
Das Gummi wird durch die Erdanziehungskraft auf den Boden gezogen. Bis es auf den Boden auftrifft, muss es die Höhe h zurücklegen.
Wir können den Zusammenhang zwischen der Zeit und den obigen Größen durch die allgemeine Weg-Beschleunigung Formel ausdrücken, wobei die Beschleunigung a die Erdbeschleunigung g ist.
Das Gummi würde nun t Sekunden lang mit V0 fliegen, d.h. wäre die zurückgelegte Distanz
Dies berücksichtigt zwar nicht den Luftwiderstand, jedoch wird im Folgenden mit dieser Basis gearbeitet.
Luftwiderstand
Die allgemeine Formel für die Luftwiderstandskraft ist
Im folgenden wird eine Funktion V(t) gesucht:
Diese Funktion beschreibt die Geschwindigkeit über die Zeit durch den Geschwindigkeitsverlust durch den Luftwiderstand.
Um nun auf die Distanz zu kommen, muss diese Funktion nach der Zeit t integriert werden. T ist hier nur eine Hilfsvariable.
Diese Formel beschreibt die zurückgelegte Distanz eines Gummis mit den beinhalteten Größen.
Nun können die bereits bekannten Terme für t und V0 eingesetzt werden:
Der Luftwiderstand von der Fallbewegung des Gummis wird hier vernachlässigt, da es, eigenen Simulationen zufolge, selbst mit einem unrealistisch großem Luftwiderstand einer Abweichung von unter 0.5% unterliegt. Beim Miteinbeziehen des Abschusswinkels wird dies jedoch geändert werden müssen.
Veränderung des Luftwiderstandsbeiwertes
Rotiert das Gummi schneller, so fliegt es stabiler und reduziert die Angriffsfläche für die Luft weiter. Rotiert es langsamer, rotiert es Chaotisch und die Angriffsfläche für die Luft vergrößert sich signifikant.
Wir vermuten, dass dieser Zusammenhang abfallend exponentiell ist, d.h. wirken niedrige Rotationsgeschwindigkeiten effizienter, als hohe im Bezug auf die Energie, welche in sie reingesteckt wurde und der Auswirkung auf die Flugweite des Gummis. Diesen Zusammenhang wollen wir durch eine Funktion β(t) festhalten:
Dies ist eine allgemeine Exponentialfunktion. Sie wird vorerst von Vrot abhängig gemacht, um die Terme kürzer zu machen. Es wird später wieder eingesetzt. β1 markiert hier das Minimum, an das sich die Funktion annähert.
Dies können wir nun für f einsetzen.
Jetzt setzen wir Vrot auf Vmin. Diesem Wert wird definitionsgemäß β1 zugeordnet:
Dies formen wir nun nach n um und setzen dies dann wieder in die ursprüngliche Funktion ein und fassen zusammen:
Jetzt kann man folgende Eigenschaft einer Exponentialfunktion nutzen:
Hierfür müssen natürlich beide β-Werte bekannt sein, jedoch vereinfacht es die Gleichung auf jeden fall, wenn man es für β2 einsetzt:
Nun muss nur noch für Vrot eingesetzt werden, um die Funktion wieder abhängig von U zu machen:
Dies ist die fertige Funktion für Beta. Die Beta Werte werden durch ein Programm so gewählt, dass die Theoretischen Messwerte mit echten Messwerten übereinstimmen. Daher bezieht sie auch andere Arten von Energieverlusten mit ein.
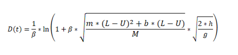
Dies setzen wir nun in die Formel für die Flugweite des Gummis anstelle von β ein:
\begin{equation} D(U) = \frac{1}{\beta} \cdot \ln \left( 1 + \beta \cdot \sqrt{\frac{m \cdot (L - U)^2 + b \cdot (L - U)}{m}} \cdot \sqrt{\frac{2 \cdot h}{g}} \right) \end{equation}
\begin{equation} \beta(U) = \beta_1 \cdot \left( a + (b - a) \cdot \left( \frac{1 - a}{b - a} \right)^{\sqrt{\frac{2 \cdot (b \cdot U + L \cdot m \cdot U)}{m}} / V_{min}} \right) \end{equation}
\begin{equation} D(U) = \frac{1}{\beta(U)} \cdot \ln \left( 1 + \beta(U) \cdot \sqrt{\frac{m \cdot (L - U)^2 + b \cdot (L - U)}{m}} \cdot \sqrt{\frac{2 \cdot h}{g}} \right) \end{equation}
\begin{equation} D(U) = \frac{1}{\beta_1 \cdot \left( a + (b - a) \cdot \left( \frac{1 - a}{b - a} \right)^{\sqrt{\frac{2 \cdot (b \cdot U + L \cdot m \cdot U)}{m}} / V_{min}} \right)} \cdot \ln \left( 1 + \beta_1 \cdot \left( a + (b - a) \cdot \left( \frac{1 - a}{b - a} \right)^{\sqrt{\frac{2 \cdot (b \cdot U + L \cdot m \cdot U)}{m}} / V_{min}} \right) \cdot \sqrt{\frac{m \cdot (L - U)^2 + b \cdot (L - U)}{m}} \cdot \sqrt{\frac{2 \cdot h}{g}} \right) \end{equation}
Dies ist die Endformel, wenn der Abschusswinkel nicht berücksichtigt wird. Eine Luftreibung für die Rotation wird vernachlässigt, da diese irrelevant gering ist.
Miteinbeziehung des Abschusswinkels
Wie sich die Distanz unter einem Abschusswinkel verändert, lässt sich durch Trigonometrie und einer Veränderung des Terms für die Fallzeit T erfassen.
Um dies zu machen, kann die Anfangsgeschwindigkeit nicht mehr als Absolut betrachtet werden, stattdessen muss die Richtung beachtet werden.
Gegeben ist die Anfangsgeschwindigkeit V0, es gilt folgendes:
\begin{equation} V_h = \sin(\varphi) \cdot V_0 \end{equation}
\begin{equation} V_d = \cos(\varphi) \cdot V_0 \end{equation}
Dies sind die Geschwindigkeiten, mit denen sich das Gummi in die jeweiligen Richtungen bewegt. Da das Gummi jetzt nach oben geschossen wird, muss auch die Fall/Flugzeit neu berechnet werden. Diese wird in 2 Teile Zerlegt:
- Die Zeit, nach welcher Vh bei 0 liegt
- Die Zeit, welche das Gummi nun braucht um die nach 1. erreichte höhe wieder runterzufallen.
Berechnen wir nun erstens:
Gegeben sei Folgende Formel für V(t) unter einem Luftwiderstand:
\begin{equation} v(t) = \frac{1}{\frac{1}{V_h} + \beta \cdot t} \end{equation}
Übertragen auf diesen Term, sieht sie so aus:
\begin{equation} vh(t) = \frac{1}{\frac{1}{V_h} + \beta \cdot t_1} - 9.81 \cdot \frac{m}{s^2} \cdot t_1 \end{equation}
Der neue Term, welcher subtrahieret wird beschreibt die Gravitationskraft. Nun wird der Term 0 gesetzt und nach t1 aufgelöst: \begin{equation} 0 = \frac{1}{\frac{1}{V_h} + \beta \cdot t_1} - 9.81 \cdot \frac{m}{s^2} \cdot t_1 \end{equation}
\begin{equation} t_1 = -\frac{1}{2 \cdot V_h \cdot \beta} + \sqrt{\left( \frac{1}{2 \cdot V_h \cdot \beta} \right)^2 + \frac{1}{g \cdot \beta}} \end{equation}
Mit der Zeit t1, können wir jetzt mithilfe der untenstehenden Formel berechnen, wie hoch das Gummi hierbei gekommen ist.
\begin{equation} D(U) = \frac{1}{\beta} \ln(1 + \beta \cdot V0 \cdot t) \end{equation}
\begin{equation} D(U) = \frac{1}{\beta} \ln \left( 1 + \beta \cdot Vh0 \cdot \left( -\frac{1}{2 \cdot Vh0 \cdot \beta} + \sqrt{ \left( \frac{1}{2 \cdot Vh0 \cdot \beta} \right)^2 + \frac{1}{g \cdot \beta} } \right) \right) + h \end{equation}
Jetzt berechnen wir die Zeit, welches das Gummi zum herunterfallen benötigt, mithilfe dieser Formel:
\begin{equation} t = \sqrt{\frac{2 \cdot h}{g}} \end{equation}. Wir setzen ein: \begin{equation} t_2 = \sqrt{\frac{2 \left( \frac{1}{\beta} \ln \left( 1 + \beta \cdot Vh0 \cdot \left( -\frac{1}{2 \cdot Vh0 \cdot \beta} + \sqrt{ \left( \frac{1}{2 \cdot Vh0 \cdot \beta} \right)^2 + \frac{1}{g \cdot \beta} } \right) \right) + h \right)}{g}} \end{equation}
\begin{equation} t_{ges} = t_1 + t_2 \end{equation}
\begin{equation} t_{ges} = \left( -\frac{1}{2 \cdot Vh \cdot \beta} + \sqrt{ \left( \frac{1}{2 \cdot Vh \cdot \beta} \right)^2 + \frac{1}{g \cdot \beta} } \right) + \sqrt{\frac{2 \left( \frac{1}{\beta} \ln \left( 1 + \beta \cdot Vh0 \cdot \left( -\frac{1}{2 \cdot Vh0 \cdot \beta} + \sqrt{ \left( \frac{1}{2 \cdot Vh0 \cdot \beta} \right)^2 + \frac{1}{g \cdot \beta} } \right) \right) + h \right)}{g}} \end{equation}
Nun muss nur noch alles in die eigentliche Formel für die Distanz eingesetzt werden:
\begin{equation} D(U) = \frac{1}{\beta} \ln \left( 1 + \beta \cdot (V0 \cdot \cos(\phi)) \cdot \left( \left( -\frac{1}{2 \cdot V0 \cdot \sin(\phi) \cdot \beta} + \sqrt{\left( \frac{1}{2 \cdot V0 \cdot \sin(\phi) \cdot \beta} \right)^2 + \frac{1}{g \cdot \beta}} \right) + \sqrt{\frac{2 \left( \frac{1}{\beta} \ln \left( 1 + \beta \cdot V0 \cdot \sin(\phi) \cdot \left( -\frac{1}{2 \cdot V0 \cdot \sin(\phi) \cdot \beta} + \sqrt{\left( \frac{1}{2 \cdot V0 \cdot \sin(\phi) \cdot \beta} \right)^2 + \frac{1}{g \cdot \beta}} \right) \right) + h \right)}{g}} \right) \right) \end{equation}
\begin{equation} D(U) = \frac{1}{\beta_1 \cdot (a + (b - a) \cdot \left( \frac{1 - a}{b - a} \right)^{\sqrt{\frac{2 \cdot (b \cdot U + L \cdot m \cdot U)}{m}} / V_{min}}} \ln \left( 1 + \beta_1 \cdot (a + (b - a) \cdot \left( \frac{1 - a}{b - a} \right)^{\sqrt{\frac{2 \cdot (b \cdot U + L \cdot m \cdot U)}{m}} / V_{min}} \cdot (V0 \cdot \cos(\phi)) \cdot \left( \left( -\frac{1}{2 \cdot V0 \cdot \sin(\phi) \cdot \beta} + \sqrt{\left( \frac{1}{2 \cdot V0 \cdot \sin(\phi) \cdot \beta} \right)^2 + \frac{1}{g \cdot \beta}} \right) + \sqrt{\frac{2 \left( \frac{1}{\beta} \ln \left( 1 + \beta \cdot V0 \cdot \sin(\phi) \cdot \left( -\frac{1}{2 \cdot V0 \cdot \sin(\phi) \cdot \beta} + \sqrt{\left( \frac{1}{2 \cdot V0 \cdot \sin(\phi) \cdot \beta} \right)^2 + \frac{1}{g \cdot \beta}} \right) \right) + h \right)}{g}} \right) \right) \end{equation}
\begin{equation} D(U) = \frac{1}{\beta_1 \cdot (a + (b - a) \cdot \left( \frac{1 - a}{b - a} \right)^{\sqrt{\frac{2 \cdot (b \cdot U + L \cdot m \cdot U)}{m}} / V_{min}}} \ln \left( 1 + \beta_1 \cdot (a + (b - a) \cdot \left( \frac{1 - a}{b - a} \right)^{\sqrt{\frac{2 \cdot (b \cdot U + L \cdot m \cdot U)}{m}} / V_{min}} \cdot \left( \sqrt{\frac{m \cdot (L - U)^2 + b \cdot (L - U)}{m}} \cdot \cos(\phi) \right) \cdot \left( \left( -\frac{1}{2 \cdot \sqrt{\frac{m \cdot (L - U)^2 + b \cdot (L - U)}{m}} \cdot \sin(\phi) \cdot \beta} + \sqrt{\left( \frac{1}{2 \cdot \sqrt{\frac{m \cdot (L - U)^2 + b \cdot (L - U)}{m}} \cdot \sin(\phi) \cdot \beta} \right)^2 + \frac{1}{g \cdot \beta}} \right) + \sqrt{\frac{2 \left( \frac{1}{\beta} \ln \left( 1 + \beta \cdot \sqrt{\frac{m \cdot (L - U)^2 + b \cdot (L - U)}{m}} \cdot \sin(\phi) \cdot \left( -\frac{1}{2 \cdot \sqrt{\frac{m \cdot (L - U)^2 + b \cdot (L - U)}{m}} \cdot \sin(\phi) \cdot \beta} + \sqrt{\left( \frac{1}{2 \cdot \sqrt{\frac{m \cdot (L - U)^2 + b \cdot (L - U)}{m}} \cdot \sin(\phi) \cdot \beta} \right)^2 + \frac{1}{g \cdot \beta}} \right) \right) + h \right)}{g}} \right) \right) \end{equation}
\begin{equation} '"`UNIQ-MathJax1-QINU`"' \end{equation}
\begin{equation}
'"`UNIQ-MathJax2-QINU`"''"`UNIQ--nowiki-00000009-QINU`"'
\end{equation}
Dies ist die Finale Funktion, welche die zurückgelegte Strecke des Gummis abhängig von allen Parametern zurückgibt.
In die Obige Funktion müsste in der Zweiten Hälfte für β nur noch die β(U) Funktion einsetzen, jedoch übersteigt dies die zugelassene Länge dieses Formats, jedoch ist dies die Theoretische Lösung des Problems. Die Formel beinhaltet alle Parameter. Die Geometrie und Physikalischen Eigenschaften des Gummis ist im β1.
Um jetzt das Ideale U zu finden, für welches das Gummi am weitesten fliegt, müsste man diese Funktion ableiten und 0 setzen. Dies wäre hier jetzt aber viel zu überkompliziert. D.h. lassen wir dies jetzt sein. Für einen abschusswinkel von 0, für welchen eine simplere formel gilt, konnten wir dies jedoch durchführen.
Theoretische Ergebnisse
Magnus Effekt
Der Magnus Effekt ist eine Kraft, welche auf das Gummi wird, wenn es sich dreht. Diese Kraft bewegt das Gummi senkrecht von der Flugrichtung zur Seite. Hierzu könnte ich jetzt auch sehr viel schreiben, jedoch ist dies überflüssig, da es für unser Szenario nicht relevant genug ist, und daher kaum bis garkeinen Einfluss auf unsere Messungen hatte, da unsere Messapparatur zu ungenau ist und daher auch alles unnötig komplizierter machen würde. Man sollte dessen Existenz jedoch trotzdem im Hinterkopf behalten, da es für eine Tiefgründigere Theorie relevant wäre.
Aufbau
Mit diesem Aufbau wurden Eure Messungen durchgeführt. Dieser Abschnitt lebt von guten(!) Fotos bzw. Skizzen.
Anfängliche Aufbauten, die später verworfen wurden, können erwähnt werden aber müssen ausgiebig betrachtet werden.
Daten
Federkonstante
In Bezug auf die Federkonstante haben wir mit dem Aufbau (1) für ein blaues Gummi folgende Daten aufgenommen:
Jede Punktfarbe ist ein Datensatz. Um hierdraus die Federfunktion zu bestimmen, werden wir jeweils eine Ausgleichs Gerade durch die Punkte legen und von diesen dann den Durchschnitt errechnen.
Blau1(L)=0.49*L
Blau2(L)=0.69*L-1.1
Blau3(L)=0.48*L-0.42
Blau(L)=0.553*L-0.5
Hier ist Grün:
Grün1(L)=0.88*L-1.27
Grün2(L)=0.74*L-1.46
Grün3(L)=0.57*L
Grün(L)= 0.73*L-9.91
Fazit
Eine kurze Zusammenfassung eurer Erkenntnisse. Emil Ja Luis, ich mache den Teil. Luis Wow echt?
Erfolge
Wir haben dieses Jahr an der regionalen Runde des GYPT teilgenommen. Eine Teilnahme bei Jugend Forscht konnte leider nicht erfolgen. Grund hierfür war ein Problem bei der Anmeldung.











