Gummiband
Thema
Ein Gummiband kann eine längere Strecke fliegen, wenn es beim Schuss ungleichmäßig gestreckt wird, wodurch es sich während des Fluges dreht. Wir sollen die Distanz, welche ein Gummiband mit Spin zurücklegen kann, optimieren, sodass die Distanz möglichst groß ist. Unter der Distanz verstehen wir hier die Distanz vom Punkt, wo das Gummiband los geschossen wurde zum Ausgangspunkt, wo das Gummi landet. Wir meinen damit nicht die Flugbahn, da diese zu schwer zu messen wäre. Zudem wird das Gummi immer parallel zum Boden geschossen, da wir uns auf den Spin fokussieren.
Dieser Versuch hat mit Kräften und Luftwiderstand zutun. Daraus schließend ist dieses Projekt Teil des Themenfeldes Mechanik.
Grundlegende Erklärung
Wenn man einem Gummiband Spin gibt (beide Seiten ungleichmäßig streckt), so fängt es an, im Flug zu rotieren. Durch diese Rotation tritt ein Effekt ein, welcher dafür sorgt, dass das Gummi in einer stabilen Position fliegt, da durch diese Stabilität Störungen das Gummi weniger stark beim Flug beeinflussen. Diese Position, in die sich das Gummi begibt, minimiert ebenfalls die Angriffsfläche für die Luft beim Flug, wodurch der Luftwiderstand bedeutend reduziert wird. Ohne spin, überschlägt es sich im Flug, wodurch nicht nur der Luftwiderstand größer wird, sondern auch Energie in dieser Bewegung des Überschlagens selbst verloren geht.
Parameter
Zunächst einmal fangen wir mit den relevanten Parametern an, die das Phänomen allgemein beeinflussen:
-Die Federfunktion L*n+b des Gummis
-Die Abschusshöhe des Gummis über dem Boden h
-Der Winkel φ, in dem das Gummi in die Luft geschossen wird
-Der Radius des Gummis r
-Die Dicke des Gummis rh
-Die Masse des Gummis m
-Die minimale Rotationsgeschwindigkeit für einen Stabilen Flug Vmin
-2-Fache Längendifferenz zwischen den einzelnen Seiten(Spin) U
-Optische Längendifferenz zur Ausgangslage U
-Die Luftwiderstandsbeiwerte Cw2 und Cw3
Konstanten:
-Luftdichte P
-Erdbeschleunigung g
Theorie
Energiebetrachtung
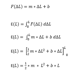
Um diesen Effekt zu untersuchen, werden wir über eine Energiebetrachtung gehen. Daher müssen wir zunächst einmal die potentielle Energie bestimmen, welche im Gummi vorliegt im gestreckten Zustand.
Hierfür muss erstmal der Zusammenhang zwischen der Längenausdehnung des Gummis und der Kraft, welche auf das Gummi ausgewirkt wird ermittelt werden.
Der Ideale Graph für diesen Zusammenhang ist folgender:
Hier lässt sich schnell erkennen, dass das Hooksche Gesetz hier nichtzutreffend ist, da der Zusammenhang nicht linear ist. Daher wird der Zusammenhang zwischen der Längenausdehnung und der daraus resultierenden Kraft in der Form F=ΔL*m+b dargestellt. Um die Werte von n und k zu bestimmen, werden versuche durchgeführt (Mehr dazu im Versuch-Abschnitt). Dieser Term wird den Linearen Abschnitt annähern.
Ein Gummi ist von den Physikalischen Eigenschaften her sehr Feder-ähnlich.
Die gespeicherte potentielle Energie in einer Feder wird durch den Folgenden Ausdruck beschrieben:
Dieser Ausdruck basiert auf dem Hookschen Gesetz, nach welchem die Kraft F durch eine Längenänderung von K*L verursacht wird. L ist hier die Längenänderung.
Da dieses Gummi aber nicht sehr zutreffend durch das Hooksche Gesetz beschrieben werden kann (siehe oben), muss ein neuer Term für die Energie gefunden werden, welcher auf dem oben definierten Term für den Zusammenhang zwischen der Kraft F und der Längenausdehnung L.
Um dies herauszufinden, können folgende Schritte durchgeführt werden:
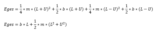
Dieser Ausdruck beschreibt die Energie eines gleichförmig gestreckten Gummis. In unserem Projekt, wird das Gummi jedoch ungleichmäßig gestreckt. Daher wird die Energie der Einzelnen Seiten addiert, wobei eine Seite L+U lang ist, die andere Seite L-U. Da wir hier die einzelnen Seiten betrachten, müssen alle Terme jeweils halbiert werden.
Dies ist die potentielle Energie, welche sich im gespannten Gummi befindet. Wird dieses nun losgelassen, wird diese Energie in Kinetische Energie umgewandelt.
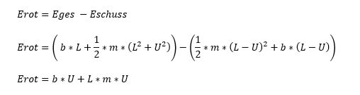
Diese Energie verteilt sich auf die Schussenergie Eschuss und die Rotationsenergie Erot. Die Schussenergie ist hierbei also die Energie, welche für das vorwärts-schießen verantwortlich ist und Erot die Energie, welche für die Rotation verantwortlich ist.
Beide Seiten des Gummis haben eine bestimmte Energie menge. Die Schuss-Energie ist hier die Energie, welche beide Seiten gemeinsam haben, d.h. 2 mal die Energie, welche in der kürzeren Seite vorliegt.
Nun fehlt nur noch die Rotationsenergie, welche die Differenz der Gesamtenergie und der Schussenergie ist (Energieerhaltung):
Aus diesen Energien können nun die Geschwindigkeiten berechnet werden. Für die Rotationsgeschwindigkeit gilt:
\begin{equation} \sqrt{\frac{2 \cdot (b \cdot U + L \cdot m \cdot U)}{M}} = V_{rot} \end{equation}
Auch die Anfangsgeschwindigkeit des Gummis beim Flug kann durch die beteiligte Energie berechnet werden:
Flug kein Luftwiderstand
Links befindet sich eine Grobe Skizze der Flugbahn des Gummis.
Zunächst einmal muss die Fallzeit bestimmt werden, nach welcher das Gummi auf den Boden auftrifft.
Das Gummi wird durch die Erdanziehungskraft auf den Boden gezogen. Bis es auf den Boden auftrifft, muss es die Höhe h zurücklegen.
Wir können den Zusammenhang zwischen der Zeit und den obigen Größen durch die allgemeine Weg-Beschleunigung Formel ausdrücken, wobei die Beschleunigung a die Erdbeschleunigung g ist.
Das Gummi würde nun t Sekunden lang mit V0 fliegen, d.h. wäre die zurückgelegte Distanz
Dies berücksichtigt zwar nicht den Luftwiderstand, jedoch wird im Folgenden mit dieser Basis gearbeitet.
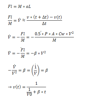
Luftwiderstand
Die allgemeine Formel für die Luftwiderstandskraft ist
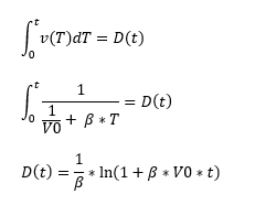
Im folgenden wird eine Funktion V(t) gesucht:
Diese Funktion beschreibt die Geschwindigkeit über die Zeit durch den Geschwindigkeitsverlust durch den Luftwiderstand.
Um nun auf die Distanz zu kommen, muss diese Funktion nach der Zeit t integriert werden. T ist hier nur eine Hilfsvariable.
Diese Formel beschreibt die zurückgelegte Distanz eines Gummis mit den beinhalteten Größen.
Nun können die bereits bekannten Terme für t und V0 eingesetzt werden:
Der Luftwiderstand von der Fallbewegung des Gummis wird hier vernachlässigt, da es, eigenen Simulationen zufolge, selbst mit einem unrealistisch großem Luftwiderstand einer Abweichung von unter 0.5% unterliegt. Beim Miteinbeziehen des Abschusswinkels wird dies jedoch geändert werden müssen.
Veränderung des Luftwiderstandsbeiwertes
Rotiert das Gummi schneller, so fliegt es stabiler und reduziert die Angriffsfläche für die Luft weiter. Rotiert es langsamer, rotiert es Chaotisch und die Angriffsfläche für die Luft vergrößert sich signifikant.
Wir vermuten, dass dieser Zusammenhang abfallend exponentiell ist, d.h. wirken niedrige Rotationsgeschwindigkeiten effizienter, als hohe im Bezug auf die Energie, welche in sie reingesteckt wurde und der Auswirkung auf die Flugweite des Gummis. Diesen Zusammenhang wollen wir durch eine Funktion β(t) festhalten:
Dies ist eine allgemeine Exponentialfunktion. Sie wird vorerst von Vrot abhängig gemacht, um die Terme kürzer zu machen. Es wird später wieder eingesetzt. β1 markiert hier das Minimum, an das sich die Funktion annähert.
Dies können wir nun für f einsetzen.
Jetzt setzen wir Vrot auf Vmin. Diesem Wert wird definitionsgemäß β1 zugeordnet: \begin{equation} \beta(V_{min}) = \beta_1 = a \cdot \beta_1 + (\beta_2 - a \cdot \beta_1) \cdot e^{n \cdot V_{min}} \end{equation}
Dies formen wir nun nach n um und setzen dies dann wieder in die ursprüngliche Funktion ein und fassen zusammen:
\begin{equation} n = \ln\left(\frac{\beta_1 \cdot (1 - a)}{\beta_2 - a \cdot \beta_1}\right) \cdot \frac{1}{V_{min}} \end{equation} \begin{equation} \beta(V_{rot}) = a \cdot \beta_1 + (\beta_2 - a \cdot \beta_1) \cdot e^{\left(\ln\left(\frac{\beta_1 \cdot (1 - a)}{\beta_2 - a \cdot \beta_1}\right) \cdot \frac{V_{rot}}{V_{min}}\right)} \end{equation}
Jetzt kann man folgende Eigenschaft einer Exponentialfunktion nutzen:
Hierfür müssen natürlich beide β-Werte bekannt sein, jedoch vereinfacht es die Gleichung auf jeden fall, wenn man es für β2 einsetzt:
\begin{equation} \beta(V_{rot}) = \beta_1 \cdot \left( a + (b - a) \cdot \left( \frac{1 - a}{b - a} \right)^{\frac{V_{rot}}{V_{min}}} \right) \end{equation}
Nun muss nur noch für Vrot eingesetzt werden, um die Funktion wieder abhängig von U zu machen:
\begin{equation} \beta(U) = \beta_1 \cdot \left( a + (b - a) \cdot \left( \frac{1 - a}{b - a} \right)^{\frac{\sqrt{\frac{2 \cdot (b \cdot U + L \cdot m \cdot U)}{m}}}{V_{min}}} \right) \end{equation}
Dies ist die fertige Funktion für Beta. Die Beta Werte werden durch ein Programm so gewählt, dass die Theoretischen Messwerte mit echten Messwerten übereinstimmen. Daher bezieht sie auch andere Arten von Energieverlusten mit ein.
Dies setzen wir nun in die Formel für die Flugweite des Gummis anstelle von β ein:
\begin{equation} \frac{1}{\beta} \cdot \ln\left(1 + \beta \cdot \sqrt{\frac{m \cdot (L - U)^2 + 2 \cdot b \cdot (L - U)}{M}} \cdot \sqrt{\frac{2 \cdot h}{g}}\right) \end{equation}
\begin{equation} \beta(U) = \beta_1 \cdot \left( a + (b - a) \cdot \left( \frac{1 - a}{b - a} \right)^{\frac{\sqrt{\frac{2 \cdot (b \cdot U + L \cdot m \cdot U)}{M}}}{V_{min}}} \right) \end{equation}
\begin{equation} \frac{1}{\beta(U)} \cdot \ln\left(1 + \beta(U) \cdot \sqrt{\frac{m \cdot (L - U)^2 + 2 \cdot b \cdot (L - U)}{M}} \cdot \sqrt{\frac{2 \cdot h}{g}}\right) \end{equation}
\begin{equation} \frac{1}{\beta_1 \cdot \left( a + (b - a) \cdot \left( \frac{1 - a}{b - a} \right)^{\frac{\sqrt{\frac{2 \cdot (b \cdot U + L \cdot m \cdot U)}{M}}}{V_{min}}} \right)} \cdot \ln\left(1 + \beta_1 \cdot \left( a + (b - a) \cdot \left( \frac{1 - a}{b - a} \right)^{\frac{\sqrt{\frac{2 \cdot (b \cdot U + L \cdot m \cdot U)}{M}}}{V_{min}}} \right) \cdot \sqrt{\frac{m \cdot (L - U)^2 + 2 \cdot b \cdot (L - U)}{M}} \cdot \sqrt{\frac{2 \cdot h}{g}}\right) \end{equation}
Dies ist die Endformel, wenn der Abschusswinkel nicht berücksichtigt wird. Eine Luftreibung für die Rotation wird vernachlässigt, da diese irrelevant gering ist.
'=== Miteinbeziehuhng des Abschusswinkels: ===
Wie sich die Distanz unter einem Abschusswinkel verändert, lässt sich durch Trigonometrie und einer Veränderung des Terms für die Fallzeit T erfassen.
Um dies zu machen, kann die Anfangsgeschwindigkeit nicht mehr als Absolut betrachtet werden, stattdessen muss die Richtung beachtet werden.
Gegeben ist die Anfangsgeschwindigkeit V0, es gilt folgendes:
\begin{equation} V_h = \sin(\varphi) \cdot V_0 \end{equation}
\begin{equation} V_d = \cos(\varphi) \cdot V_0 \end{equation}
Dies sind die Geschwindigkeiten, mit denen sich das Gummi in die jeweiligen Richtungen bewegt. Da das Gummi jetzt nach oben geschossen wird, muss auch die Fall/Flugzeit neu berechnet werden. Diese wird in 2 Teile Zerlegt:
- Die Zeit, nach welcher Vh bei 0 liegt
- Die Zeit, welche das Gummi nun braucht um die nach 1. erreichte höhe wieder runterzufallen.
Berechnen wir nun erstens:
Gegeben sei Folgende Formel für V(t) unter einem Luftwiderstand:
\begin{equation} v(t) = \frac{1}{\frac{1}{V_h} + \beta3 \cdot t} \end{equation}
Übertragen auf diesen Term, sieht sie so aus:
\begin{equation} vh(t) = \frac{1}{\frac{1}{V_h} + \beta3 \cdot t_1} - 9.81 \cdot \frac{m}{s^2} \cdot t_1 \end{equation}
Der neue Term, welcher subtrahieret wird beschreibt die Gravitationskraft. Nun wird der Term 0 gesetzt und nach t1 aufgelöst: \begin{equation} 0 = \frac{1}{\frac{1}{V_h} + \beta3 \cdot t_1} - 9.81 \cdot \frac{m}{s^2} \cdot t_1 \end{equation}
\begin{equation} t_1 = -\frac{1}{2 \cdot V_h \cdot \beta3} + \sqrt{\left( \frac{1}{2 \cdot V_h \cdot \beta3} \right)^2 + \frac{1}{g \cdot \beta3}} \end{equation}
Mit der Zeit t1, können wir jetzt mithilfe der untenstehenden Formel berechnen, wie hoch das Gummi hierbei gekommen ist.
\begin{equation} D(U) = \frac{1}{\beta3} \ln(1 + \beta3 \cdot V0 \cdot t) \end{equation}
\begin{equation} D(U) = \frac{1}{\beta3} \ln \left( 1 + \beta3 \cdot Vh0 \cdot \left( -\frac{1}{2 \cdot Vh0 \cdot \beta3} + \sqrt{ \left( \frac{1}{2 \cdot Vh0 \cdot \beta3} \right)^2 + \frac{1}{g \cdot \beta3} } \right) \right) + h \end{equation}
Jetzt berechnen wir die Zeit, welches das Gummi zum herunterfallen benötigt, mithilfe dieser Formel:
\begin{equation} t = \sqrt{\frac{2 \cdot h}{g}} \end{equation}. Wir setzen ein: \begin{equation} t_2 = \sqrt{\frac{2 \left( \frac{1}{\beta3} \ln \left( 1 + \beta3 \cdot Vh0 \cdot \left( -\frac{1}{2 \cdot Vh0 \cdot \beta3} + \sqrt{ \left( \frac{1}{2 \cdot Vh0 \cdot \beta3} \right)^2 + \frac{1}{g \cdot \beta3} } \right) \right) + h \right)}{g}} \end{equation}
\begin{equation} t_{ges} = t_1 + t_2 \end{equation}
\begin{equation} t_{ges} = \left( -\frac{1}{2 \cdot Vh \cdot \beta3} + \sqrt{ \left( \frac{1}{2 \cdot Vh \cdot \beta3} \right)^2 + \frac{1}{g \cdot \beta3} } \right) + \sqrt{\frac{2 \left( \frac{1}{\beta3} \ln \left( 1 + \beta3 \cdot Vh0 \cdot \left( -\frac{1}{2 \cdot Vh0 \cdot \beta3} + \sqrt{ \left( \frac{1}{2 \cdot Vh0 \cdot \beta3} \right)^2 + \frac{1}{g \cdot \beta3} } \right) \right) + h \right)}{g}} \end{equation}
Nun muss nur noch alles in die eigentliche Formel für die Distanz eingesetzt werden:
\usepackage{amsmath}
\begin{equation} D(U) = \frac{1}{\beta(U)} \ln \left( 1 + \beta(U) \cdot V_d \cdot t \right) \end{equation}
\begin{equation} D(U) = \frac{1}{\beta(t)} \ln \left( 1 + \beta(t) \cdot V_d \cdot t \right) \end{equation}
\begin{equation} D(U) = \frac{1}{\beta(U)} \ln \left( 1 + \beta(U) \cdot \left( \cos(\phi) \cdot V_0 \right) \cdot t \right) \end{equation}
\begin{equation} D(U) = \frac{1}{\beta(U)} \ln \left( 1 + \beta(U) \cdot \left( \cos(\phi) \cdot \sqrt{ \frac{m (L - U)^2 + 2 b (L - U)}{M} } \right) \cdot t \right) \end{equation}
\begin{equation} D(U) = \frac{1}{\beta(U)} \ln \left( 1 + \beta(U) \cdot \left( \cos(\phi) \cdot \sqrt{ \frac{m (L - U)^2 + 2 b (L - U)}{M} } \right) \left( -\frac{1}{2 V_h \beta_3} + \sqrt{ \left( \frac{1}{2 V_h \beta_3} \right)^2 + \frac{1}{g \beta} 3 } \right) + \sqrt{ \frac{2 \left( \frac{1}{\beta_3} \ln \left( 1 + \beta_3 V_{h0} \left( -\frac{1}{2 V_{h0} \beta_3} + \sqrt{ \left( \frac{1}{2 V_{h0} \beta_3} \right)^2 + \frac{1}{g \beta} 3 } \right) + h \right) \right)}{g} } \right) \end{equation}
\begin{equation} D(U) = \frac{1}{\beta(U)} \ln \left( 1 + \beta(U) \left( \cos(\phi) \sqrt{ \frac{m (L - U)^2 + 2 b (L - U)}{M} } \right) \left( -\frac{1}{2 \sin(\phi) \sqrt{ \frac{m (L - U)^2 + 2 b (L - U)}{M} } \beta_3 } + \sqrt{ \left( \frac{1}{2 \sin(\phi) \sqrt{ \frac{m (L - U)^2 + 2 b (L - U)}{M} } \beta_3 } \right)^2 + \frac{1}{g \beta} \cdot 3 } \right) + \sqrt{ \frac{2 \left( \frac{1}{\beta_3} \ln \left( 1 + \beta_3 \sin(\phi) \sqrt{ \frac{m (L - U)^2 + 2 b (L - U)}{M} } \left( -\frac{1}{2 \sin(\phi) \sqrt{ \frac{m (L - U)^2 + 2 b (L - U)}{M} } \beta_3 } + \sqrt{ \left( \frac{1}{2 \sin(\phi) \sqrt{ \frac{m (L - U)^2 + 2 b (L - U)}{M} } \beta_3 } \right)^2 + \frac{1}{g \beta} \cdot 3 } \right) + h \right) \right)}{g} } \right) \end{equation}
\begin{equation} D(U) = \frac{1}{\beta_1 \left( a + (b - a) \left( \frac{1 - a}{b - a} \right)^{ \frac{\sqrt{ \frac{2 (b U + L m U)}{M} }}{V_{min}} } \right)} \ln \left( 1 + \beta_1 \left( a + (b - a) \left( \frac{1 - a}{b - a} \right)^{ \frac{\sqrt{ \frac{2 (b U + L m U)}{M} }}{V_{min}} } \right) \left( \cos(\phi) \sqrt{ \frac{m (L - U)^2 + 2 b (L - U)}{M} } \right) \left( -\frac{1}{2 \sin(\phi) \sqrt{ \frac{m (L - U)^2 + 2 b (L - U)}{M} } \beta_3 } + \sqrt{ \left( \frac{1}{2 \sin(\phi) \sqrt{ \frac{m (L - U)^2 + 2 b (L - U)}{M} } \beta_3 } \right)^2 + \frac{1}{g \beta} 3 } \right) + \sqrt{ \frac{2 \left( \frac{1}{\beta_3} \ln \left( 1 + \beta_3 \sin(\phi) \sqrt{ \frac{m (L - U)^2 + 2 b (L - U)}{M} } \left( -\frac{1}{2 \sin(\phi) \sqrt{ \frac{m (L - U)^2 + 2 b (L - U)}{M} } \beta_3 } + \sqrt{ \left( \frac{1}{2 \sin(\phi) \sqrt{ \frac{m (L - U)^2 + 2 b (L - U)}{M} } \beta_3 } \right)^2 + \frac{1}{g \beta} 3 } \right) + h \right) \right)}{g} } \right)} \end{equation}
Oben steht die Finale Formel, jedoch übersteigt dessen länge anscheinend die Kapazität, jedoch kann man hier den Code kopieren. In ihr ist alles berücksichtigt, außer der Luftwiderstand des Falles, da dies Simulationen zufolge einen unter 1% Fehler ergeben hat.
In die letzte oben abgebildete Gleichung müsste nur noch die β(U) Funktion eingesetzt werden. Sie kann Theoretisch die Flugdistanz des Gummis vorhersagen
Um jetzt das Ideale U zu finden, für welches das Gummi am weitesten fliegt, müsste man diese Funktion ableiten und 0 setzen. Dies wäre hier jetzt aber viel zu über kompliziert. D.h. lassen wir dies jetzt sein. Für einen Abschusswinkel von 0, für welchen eine simplere Formel gilt, konnten wir dies jedoch durchführen mithilfe eines Programms.
Um auch den idealen Schuss-Winkel zusammen mit dem Spin zu bestimmen, sollte man idealerweise ein Programm nutzen, da der Theoretische Aufwand hierfür sonst zu groß wäre.
Theoretische Ergebnisse
Für einen Abschusswinkel von 0 haben wir mithilfe von Excel einen Graphen erstellt, von D(Vrot)
Auf der X-Achse ist Vrot in m/s abgebildet, auf der Y-Achse die Flugweite in m. Man sieht hier, dass es ein Ideales U gibt, für welches die Distanz am höchsten ist. Es sagt auch vorher, dass die Ideale Rotationsgeschwindigkeit bei ungefähr 30m/s liegt.
Dieser Graph entstand für ein Blaues Gummi, welches auf 14,9cm gespannt wurde.
Darunter nochmals über dem Spin U aufgetragen.
Magnus Effekt
Der Magnus Effekt ist eine Kraft, welche auf das Gummi wird, wenn es sich dreht. Diese Kraft bewegt das Gummi senkrecht von der Flugrichtung zur Seite. Hierzu könnte ich jetzt auch sehr viel schreiben, jedoch ist dies überflüssig, da es für unser Szenario nicht relevant genug ist, und daher kaum bis garkeinen Einfluss auf unsere Messungen hatte, da unsere Messapparatur zu ungenau ist und daher auch alles unnötig komplizierter machen würde. Man sollte dessen Existenz jedoch trotzdem im Hinterkopf behalten, da es für eine Tiefgründigere Theorie relevant wäre.
Aufbau
Der Lego-Apparat
Unsere Idee beim Aufbau waren Einfach reproduzierbare Ergebnisse mit einem einfach veränderbaren Aufbau um variablen wie Abschusshöhe, Spin, Energieeinfluss in das Gummi (aka Spannungslänge) und eventuell Abschusswinkel problemlos verändern zu können. Der Aufbau sollte Außerdem stabil und handlich sein, damit keine logistischen Probleme auftreten und um größere Spannungen durch unterschiedliche Spins und Spannungen der Gummis auszuhalten.
Erster Versuch:
Unser erster Aufbau war fehlerhaft, hatte aber schon erste Eigenschaften unseres finalen Aufbaus. Wir haben Lego als Material gewählt, da es sehr stabil ist, wir viel Variation und Möglichkeiten für den Aufbau haben, es nach Versuchen sich nicht verändert und da wir Parameter beliebig verändern können (z.B. Spin/ Winkel/ Wie sehr die das Gummi gespannt ist).
Zweiter Versuch:
Unser zweiter Aufbau ist unser finaler Aufbau. Das Gummi wird über das Drehbare Glied A und das Stationäre Glied B gespannt. Das Glied B ist so geformt, dass wenn das Glied A nach unten Weggezogen wird, das Gummi möglichst wenig aufgehalten wird (wenn das Gummi das Glied B überhaupt berührt). Er wird an der hohlstelle C an den Tisch angebracht um Verschiebungen zu vermeiden. Wenn Der Apparat geschossen wird, wird das Glied A nach unten herausgezogen. Da das Glied a und die Öffnung im Lego Apparat die gleiche Form haben, kann Das Gummi nicht weiter nach unten mit rutschen und wird daher sobald das Glied A komplett innerhalb/unter dem Lego-Apparat ist, abgefeuert.
Das Glied A ist drehbar, so kann jeder beliebige Spin erreicht werden. Die Spins wurden Durch farbliche Markierungen am Gummi und Am Glied A sichtbar und rekreierbar gemacht. Der Apparat ist stabil genug um das Gummi in jede Richtung mit jedem Winkel zu schießen.
Aufbau Federkonstante
Um die Komplette Energie im Gummi beim Abschuss zu bestimmen, muss die Federkonstante bestimmt werden.
Versuch 1:
Unser erster Versuch die Federkonstante zu bestimmen, war die Aufnahme einer Kamera mit den Messwerten eines Kraftmessers zu vergleichen, welche beide genommen werden während ein Gummi stetig gestreckt wird. Dies führte zu mehreren Problemen mit der Überlappung von beiden Graphen und so zu nicht aussagekräftigen Ergebnissen. Das größte Problem war, dass wir die Aufnahme fehlerhafter weise nicht gleichzeitig gestartet hatten und wir so Probleme mit der Synchronisierung hatten. Des weiteren war es fast Unmöglich das Gummi gleichmäßig zu strecken, weswegen Messfehler enorm wurden.
Versuch 2:
Für den zweiten Versuch entschieden wir uns für einen sehr viel simpleren Aufbau, indem wir 5 unterschiedliche Gewichte, 100g, 200g, 300g, 400g und 500g an das Gummiband gehängt haben und mit einem Lineal die Längendifferenz gemessen. Wir haben diesen Vorgang mit 3 Unterschiedlichen Gummis wiederholt, jeweils mit einer unterschiedlichen Reihenfolge der Gewichte um das Ausleiern der Gummis zu minimieren.
Aufbau Cw Wert:
Um den Cw Wert des Gummis herauszufinden, haben wir einen Föhn fixiert und einen experimentellen Lufttunnel gebaut welcher über dem Föhn platziert. Der Lufttunnel wurde gebaut indem indem mehrere Strohhalme in ein geordnetes Muster gebracht wurden. Danach wurden sie von einem Klebebandzusammengeklebt wurden. danach wurde ein Trichter am einen Ende mit Pappe gebaut um die Luft in den Lufttunnel zu lenken. Dies garantiert, dass die Luft gleichmäßig auf das Gummi bläst. Das Gummi wurde an 2 Fäden angebracht und es wurde an dem punkt niedrigsten gemessen, den das Gummi in einer limitierten Zeitspanne erreicht. Gemessen wurde hier die Windgeschwindigkeit, wenn es auch einigermaßen stehen bleibt.
Daten und Vergleich
Federkonstante
In Bezug auf die Federkonstante haben wir mit dem Aufbau (1) für ein blaues Gummi folgende Daten aufgenommen:
Jede Punktfarbe ist ein Datensatz. Um hierdraus die Federfunktion zu bestimmen, werden wir jeweils eine Ausgleichs Gerade durch die Punkte legen und von diesen dann den Durchschnitt errechnen.
Blau1(L)=0.49*L
Blau2(L)=0.69*L-1.1
Blau3(L)=0.48*L-0.42
Blau(L)=0.553*L-0.5
Hier ist Grün:
Grün1(L)=0.88*L-1.27
Grün2(L)=0.74*L-1.46
Grün3(L)=0.57*L
Grün(L)= 0.73*L-9.91
Beta-Werte Messungen
Mit dem Aufbau für die Beta-Messungen haben wir folgende Messergebnisse erzielen können:
Für Beta 1 und Beta2 haben wir jeweils 2 Geschwindigkeiten gemessen, welche wir dann in Beta-Werte umgerechnet haben. Wir haben von den Geschwindigkeiten auch den Durchschnitt berechnet und haben dessen Beta-Wert verwendet.
Beta 1:
V1=7,8m/s β=0,161/m
V2=8m/s β=0,153/m
Vd=7,9m/s β=0,157
Beta2
V1=6,3m/s β=0,247
V2=5,9m/s β=0,282
Vd=6,1m/s β=0,264
Flugdistanz Messungen
Im folgenden unsere Messungen für die Flugdistanz eines Gummis:
Parameter:
Federfunktion: 0.553*L-0.5
Masse: 0.4g/0.0004Kg
Höhe: 0.78m
Vmin: 24m/s
a: 0
Abschusswinkel: 0°
L: 0,099m Rechts stehend befinden sich unsere Messwerte. Auch wenn die Parameter, unter denen dieses Gummi geschossen wurden anders sind als die, vom Idealen Graphen, so weisen sie doch Gemeinsamkeiten auf. Zum Beispiel hat man hier die These bestätigt, dass es ein Ideales U gibt und in welcher Größenordnung das Ideale U in der Regel liegt (für fast alle realistischen Parameter im niedrigen einstelligen Bereich.
Die Fehlerbalken basieren auf der Durchschnittlichen Abweichung zum Mittelwert der einzelnen Datenreihen. Die Fehlerbalken sind dann dessen Durchschnitt.
Hier rechts der direkte Vergleich. In blau ist der Theoretisch vorhergesagte Graph für die entsprechenden Parameter, in Orange mit Fehlerbalken unsere Messungen. Wie man sehen kann, passt das Theoretisch vorhergesagte Ergebnis relativ gut zum eigentlichen Ergebnis, auch wenn es Teilweise etwas knapp ist.
Der Theoretische Graph sagt voraus, dass das Gummi für einen Spin von U=2,6 am weitesten fliegt, was auch in etwa zu den Messungen passt.
Zwar berücksichtigt die Theorie nicht die Tatsache, dass das Überschlagen selbst des Gummis auch an Geschwindigkeit verliert, jedoch weist die Tatsache, dass die gemessenen Beta-Werte trotzdem passen darauf hin, dass dies nur sekundär ist. Würde man dies berücksichtigen, so wäre der Graph vor Vmin etwas tiefer gelegen. Die Differenz zwischen dem neuen Theoretischen Graphen und dem Alten würde vermutlich eine Exponentialfunktion, welche ab Vmin bei 0 läge und in negative X-Richtung gehend exponentiell größer werden würde.
Fazit
Zusammenfassend können wir sagen, dass der Ideale Spin, für welchen das Gummi am weitesten fliegt, von den einzelnen Parametern abhängt. Weicht man vom Idealen U ab, so fliegt das Gummi weniger weit. Dieses Ideale U existiert auch für jedes Gummi. Wir konnten das Ideale U für ein bestimmtes Gummi berechnen und auch experimentell nachweisen. Zudem wurden alle relevanten Parameter berücksichtigt.
Danksagung
Wir bedanken uns für die viele Mithilfe von Herrn Dr. Ebert, welcher uns Verbesserungsvorschläge und Kritik gegeben hat. Außerdem hat er uns Platz und Material für die Umsetzung organisiert und Tipps gegeben, was man ändern kann, um bessere Ergebnisse zu erlangen. Des weiteren half er uns bei der Theorie und bei Fragen.
Ebenfalls bedanken wir uns bei Fabian Schmitt und Antonia Macha, welche ebenfalls bei obengenannten Punkten halfen und mit Herrn Ebert zusammen unser Projekt betreut haben.
Erfolge
Wir haben dieses Jahr an der regionalen Runde des GYPT teilgenommen. Eine Teilnahme bei Jugend Forscht konnte leider nicht erfolgen. Grund hierfür war ein Problem bei der Anmeldung.










